2026년 공무원 봉급표 2026 교사 호봉표 2026 군인 월급 총정리
2026년 공무원 보수 인상률 3.5% 확정 배경과 의미
2026년은 공무원 보수 체계에 있어 하나의 분기점으로 볼 수 있는 해입니다. 7월 예산안 발표 시점에서 정부는 2026년도 공무원 보수 인상률을 3.5%로 결정했고, 이는 2017년 이후 9년 만에 가장 높은 인상률입니다. 그동안 물가 상승과 민간 임금은 빠르게 올랐지만, 공무원 보수는 상대적으로 억제되어 민간 대비 보수 수준이 90%대에서 80%대 초반까지 떨어졌다는 지적이 계속되어 왔습니다. 그 결과 공직사회 내부에서는 신규 인력 유입의 매력도 저하, 이탈 증가, 현직 공무원 사기 저하 문제가 꾸준히 제기되었고, 공무원 노조 역시 기본급 6%대 인상 등을 요구하며 정부와 줄다리기를 해왔습니다. 이런 상황에서 3.5%라는 인상률은 물가상승률과 최저임금 인상률을 감안했을 때 ‘보수 정상화’의 첫 단계라는 상징성을 갖습니다.

특히 올해 인상은 전 직급 일괄 3.5% 인상에 더해, 일정 구간 저연차 공무원에 대해 추가 인상(예: 5년차 이하 구간 가중 인상) 기조를 유지하고, 정액급식비·시간외 근무수당 감액률 조정 등 수당 체계도 일부 손질하는 방향으로 설계되었습니다.



다만 2025년 12월 5일 현재의 시점에서 보면, 인상률과 큰 틀의 방향은 이미 예산안과 보수협의 과정에서 확정됐지만, 세부 봉급표와 수당 규정은 2026년 1월 초 공무원보수규정 개정 고시를 통해 최종 확정되는 구조입니다.



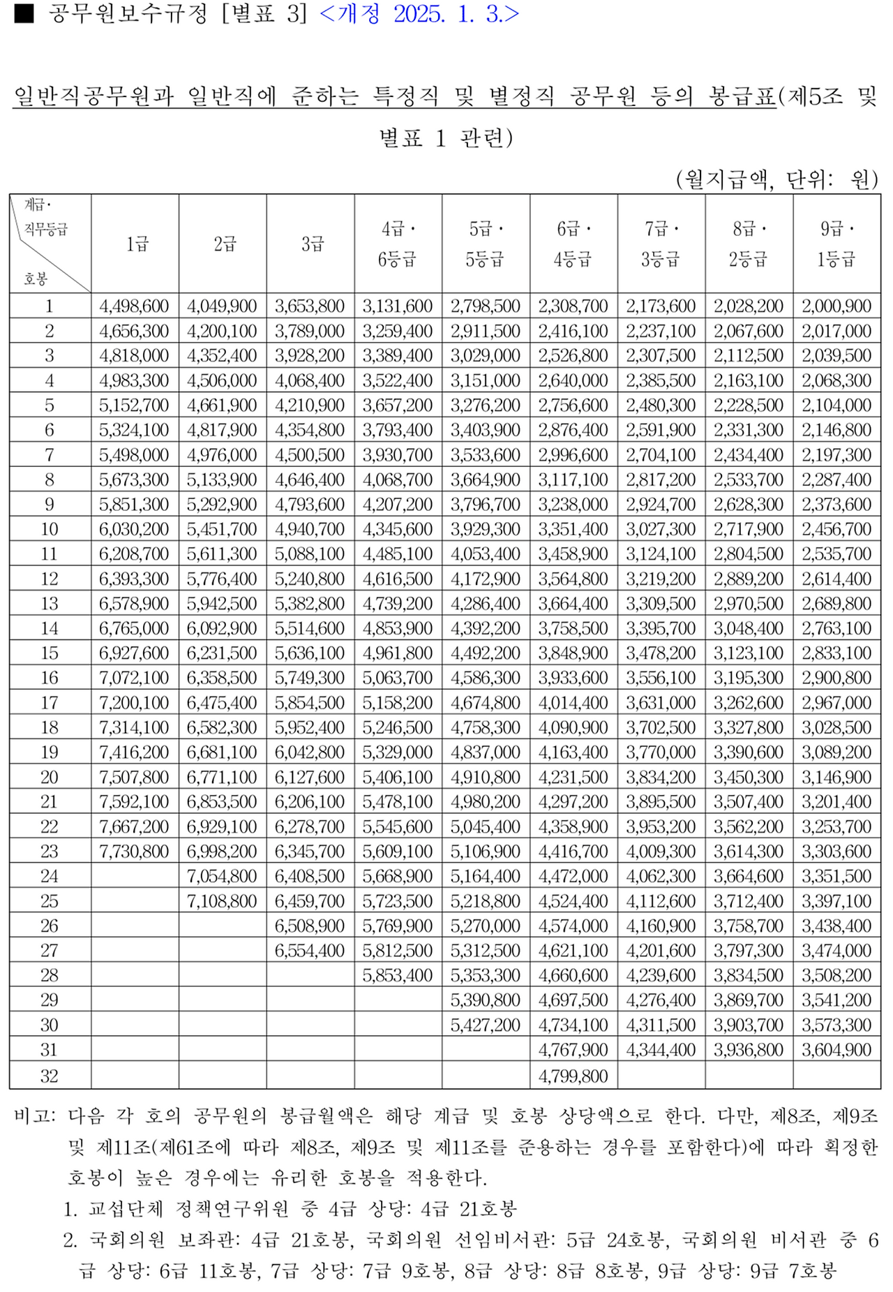
아래에서 다루는 봉급표는 그 2026년 개정 보수규정 별표(안)을 전제로 한 공무원 봉급표 2026 설명입니다.
공무원 봉급표 2026 (일반직렬) 구조 이해
일반직 공무원의 봉급은 계급(직무등급)과 호봉의 조합으로 결정됩니다.

공무원보수규정 별표 3에는 ‘일반직공무원과 일반직에 준하는 특정직 및 별정직 공무원 등의 봉급표’가 제시되며, 1급부터 9급까지, 그리고 1호봉부터 최대 30여 호봉까지 세밀하게 월봉급액이 구분되어 있습니다. 2026년 개정 봉급표 기준으로 보면 전 구간이 전년 대비 3.5% 인상된 수치이며, 저연차 구간 일부는 정책적으로 더 높은 인상률이 반영된 것으로 설정되어 있습니다. 일반직 봉급체계의 큰 특징은 다음과 같이 정리할 수 있습니다.
- 계급 구분: 1급, 2급, 3급, 4급(6등급), 5급(5등급), 6급(4등급), 7급(3등급), 8급(2등급), 9급(1등급)
- 호봉 구간: 계급별로 20호봉 이상까지 존재하며, 하위직일수록 호봉 수가 길게 구성
- 지급 단위: 모든 금액은 월 봉급 기준, 각종 수당은 별도
- 적용 대상: 국가공무원 일반직, 일반직에 준하는 특정직 일부, 별정직 등



2026년 일반직 초임 봉급 주요 구간
2026년 공무원보수규정 별표 3 기준, 대표적인 1호봉 초임 금액은 다음과 같습니다.
- 9급 1호봉: 2,070,900원
- 8급 1호봉: 2,099,200원
- 7급 1호봉: 2,249,700원
- 6급 1호봉: 2,389,500원
- 5급 1호봉: 2,896,400원
- 4급(6등급) 1호봉: 3,241,200원
- 3급 1호봉: 3,781,700원
- 2급 1호봉: 4,191,600원
- 1급 1호봉: 4,656,100원
행정직 등 대표적인 일반직렬 기준으로 보면, 9급 초임이 200만 원을 상회하는 수준으로 올라섰고, 중간관리자급인 5급 초임은 약 290만 원대, 고위공무원 직전인 3급·2급·1급 구간은 370만 원대에서 460만 원대까지 폭넓게 분포합니다. 이 수치는 어디까지나 ‘기본급’이며, 실제 실수령액은 정액급식비, 직급보조비, 가족수당, 시간외근무수당, 특수지근무수당, 성과상여금 등 각종 수당과 상여가 더해져 크게 달라질 수 있습니다.

호봉 상승에 따른 연차별 급여 변동 예시
호봉이 오른다는 것은 단순히 숫자가 하나 늘어나는 것이 아니라, 실제 월급에서 느껴지는 체감 인상으로 연결됩니다. 2026년 봉급표 일부 구간을 예로 들면 다음과 같습니다.
- 9급 1호봉: 2,070,900원
- 9급 5호봉: 2,177,600원
- 9급 10호봉: 2,542,700원
- 9급 20호봉: 3,257,000원
- 7급 1호봉: 2,249,700원
- 7급 5호봉: 2,567,100원
- 7급 10호봉: 3,133,300원
- 7급 20호봉: 3,968,400원
- 5급 1호봉: 2,896,400원
- 5급 5호봉: 3,390,900원
- 5급 10호봉: 4,066,800원
- 5급 20호봉: 5,082,700원
이처럼 동일 계급 내에서도 호봉이 오를수록 기본급이 누진적으로 상승하며, 승진으로 계급이 오르면 다시 새로운 봉급 구간으로 진입합니다. 따라서 20년 이상 재직한 중간관리자급 공무원의 경우, 기본급만 놓고 보더라도 4천만 원대 후반에서 5천만 원대 초반 수준의 연봉(12개월 기준)을 형성하게 됩니다.

일반직 봉급표 활용 포인트
- 임용 준비생: 9급, 7급, 5급 시험 준비생은 ‘1호봉 기본급 + 대표 수당’을 기준으로 첫 해 예상 실수령액을 추산할 수 있습니다.
- 재직자: 호봉 승급과 승진 시 각각 기본급이 어떻게 달라지는지, 5년 뒤·10년 뒤 목표 직급의 예상 봉급을 시뮬레이션할 수 있습니다.
- 인사·재무 담당: 기관별 인건비 예산 편성 시, 직급·호봉 분포에 3.5% 인상률을 반영해 총액 인건비를 설계하는 기준 자료로 활용합니다.



2026 경찰·소방 공무원 봉급표 핵심 정리
경찰·소방공무원은 일반직과 다른 별도의 봉급표(공무원보수규정 별표 10)를 사용합니다. 똑같이 3.5% 인상률이 적용되지만, 계급 구조와 직무 특수성이 일반 행정직과 달라 봉급표도 독립적으로 구성됩니다.



경찰·소방 계급 구조는 대략 다음과 같은 축으로 이해하면 됩니다.
- 상위: 치안정감·소방정감, 치안감·소방감, 경무관·소방준감, 총경·소방정, 경정·소방령
- 중간: 경감·소방경, 경위·소방위, 경사·소방장
- 하위: 경장·소방교, 순경·소방사
대표적인 1호봉 금액 일부를 보면 다음과 같습니다.

- 치안정감·소방정감 1호봉: 4,905,100원
- 치안감·소방감 1호봉: 4,563,500원
- 경무관·소방준감 1호봉: 4,167,700원
- 총경·소방정 1호봉: 3,619,000원
- 경정·소방령 1호봉: 3,126,100원
- 경감·소방경 1호봉: 2,698,600원
- 경위·소방위 1호봉: 2,434,700원
- 경사·소방장 1호봉: 2,400,200원
- 경장·소방교 1호봉: 2,150,800원
- 순경·소방사 1호봉: 2,070,900원
순경·소방사 초임은 일반직 9급 1호봉과 거의 유사한 수준에서 출발하지만, 실제 실수령액은 야간근무, 휴일근무, 위험근무, 특수업무, 시간외근무 등 수당 비중이 매우 크기 때문에 현장 근무 형태에 따라 크게 달라집니다. 특히 팀 단위 교대근무가 많은 경찰·소방의 특성상, 동일 계급·동일 호봉이어도 근무조 배치에 따라 월별 실수령액 편차가 발생하는 것이 일반적입니다.



또한 경찰·소방의 봉급표 역시 호봉이 오를수록 안정적으로 상승하는 구조를 가지고 있습니다. 예를 들어 순경 1호봉에서 경장·경사로 승진하면서 호봉이 쌓이면, 동일 기간 일반직 9급이 7급·6급으로 승진하는 것과 비슷한 급여 커브를 그리게 됩니다. 다만 승진 속도, 시험 난이도, 현장 위험도 등 고려 요소가 많기 때문에, 단순 금액 비교보다는 직무 특성까지 함께 보는 것이 합리적입니다.
2026 군인 월급 — 장교·부사관 중심 봉급표



군인의 보수는 공무원보수규정 별표 ‘군인의 봉급표’에 규정되어 있으며, 계급과 호봉에 따라 기본급이 달라집니다. 2026년 봉급표를 기준으로 장교·부사관 1호봉 구간은 다음과 같이 정리할 수 있습니다.



장교 계급별 1호봉 월급

- 소장 1호봉: 6,099,000원
- 준장 1호봉: 5,753,700원
- 대령 1호봉: 4,671,200원
- 중령 1호봉: 4,105,800원
- 소령 1호봉: 3,382,700원
- 대위 1호봉: 2,805,000원
- 중위 1호봉: 2,239,600원
- 소위 1호봉: 2,087,900원
소위 초임 봉급은 일반직 7급 초임과 9급 고호봉 사이 정도의 수준에서 위치하고, 군 경력이 쌓여 대위·소령 이상 계급으로 올라갈수록 300만 원대 후반에서 400만 원대 중반으로 급여 수준이 높아지는 구조입니다. 장군급(준장·소장)의 경우 500만 원대 중반에서 600만 원대 초반까지 봉급이 책정되어, 그만큼 책임과 역할에 상응하는 보수 체계를 형성하고 있습니다.



부사관 계급별 1호봉 월급
부사관 및 부사관에 준하는 계급의 1호봉 봉급은 다음과 같이 나타납니다.
- 준위 1호봉: 2,544,300원
- 원사 1호봉: 3,568,100원
- 상사 1호봉: 2,468,000원
- 중사 1호봉: 2,118,000원
- 하사 1호봉: 2,070,900원
하사 초임은 공안직 순경·소방사, 일반직 9급 초임과 유사한 수준에서 시작하며, 군 경력과 계급 상승에 따라 원사·준위로 올라갈 경우 300만 원대 중후반의 봉급을 받게 됩니다. 여기에 군특수근무수당, 위험수당, 항공·잠수·잠수함 승조 등 특수직무수당, 작전지역근무수당, 숙소·급식 관련 지원 등이 더해져 실질적인 처우가 결정됩니다.



군인 봉급표 활용 포인트
- 부사관·장교 지원 예정자는 해당 계급 1호봉과 예상 승진 속도를 고려해 장기 복무 시나리오를 계산할 수 있습니다.
- 전역 예정자의 경우 군인연금, 재취업, 공무원·공기업 전환 등을 고려할 때, 2026년 기준 마지막 봉급을 활용해 연금 산정 기준금액을 추산해 볼 수 있습니다.
- 국방예산·인건비 비중 분석 시, 계급별 인원 구조와 2026년 봉급표를 조합하면 장기 인건비 부담을 예측하는 데 도움이 됩니다.
2026 교사 호봉표 — 유치원·초·중·고 교원 봉급



교육공무원(유치원·초등학교·중학교·고등학교 교원)은 일반직·공안직과 달리 ‘계급’ 구분 없이 호봉으로만 봉급이 결정되는 단일 호봉제를 적용받습니다. 공무원보수규정 별표 11에 따르면, 2026년 교원 봉급표는 1호봉부터 40호봉까지 월봉급액이 촘촘하게 설정되어 있습니다.
교원 봉급 체계 개요
- 대상: 유치원, 초·중·고 교원(정규 교원, 일부 기간제·시간제 교원은 별도 규정)
- 구조: 1호봉부터 40호봉까지 단일 봉급표
- 승급: 일정 경력 연차마다 자동 호봉 승급, 근속 인정 규정에 따라 조정 가능
- 수당: 담임수당, 교직수당, 보직수당, 시간외·방과후수당, 연구수당 등 별도 지급



2026 교사 호봉별 금액 주요 구간
2026년 교원 봉급표의 대표 구간을 요약하면 다음과 같습니다.

- 1호봉: 1,982,100원
- 5호봉: 2,224,800원
- 10호봉: 2,471,400원
- 15호봉: 2,889,700원
- 20호봉: 3,481,000원
- 25호봉: 4,129,400원
- 30호봉: 4,826,800원
- 35호봉: 5,553,600원
- 40호봉: 6,205,700원
초임 교사의 경우 1,900만 원대 후반 수준의 기본급에서 출발하지만, 10년 이상 근속하면 240만 원대 후반, 20년 이상 근속 시 340만 원대 후반, 30년 이상 근속 시 480만 원대, 정년이 가까운 40호봉 구간에서는 620만 원대의 월 기본급을 받게 됩니다. 교원은 승진이 아니라 호봉을 기준으로 급여가 상승하는 구조이기 때문에, 장기 근속을 통해 안정적인 소득 곡선을 그릴 수 있다는 점이 특징입니다. 물론 학교 현장에서는 담임 여부, 보직(부장교사, 교감, 교장 등), 방과후학교·자율동아리·연구과제 참여 여부에 따라 수당과 추가 보상이 달라지므로, 실제 실수령액은 봉급표 상의 숫자보다 더 다양합니다.



기간제·시간제 교원의 보수
별표 11 비고에는 기간제 및 시간제 교원에 대한 규정도 함께 제시됩니다. 핵심 내용은 다음과 같습니다.
- 기간제교원: 경력에 따라 산정된 호봉의 봉급을 지급하지만, 일정 사유를 제외하고 고정급으로 운영
- 연금 수급자 재채용: 공무원연금·사학연금·군인연금 수급자가 기간제교원으로 채용될 경우, 이미 받은 연금·명예퇴직수당 등을 고려해 별도의 봉급액을 책정
- 시간제 기간제교원: 통상 근무 시 받을 봉급월액을 기준으로, 실제 근무시간에 비례하여 월봉급액을 산정
교대생·임용 준비생 입장에서는 정규 임용과 기간제 근무 간 보수 구조 차이를 이해하고, 경력 인정 여부와 향후 호봉 산정에 어떤 영향을 미치는지까지 확인해 두는 것이 중요합니다.



2026년 공무원 보수체계 종합 활용 전략
2026년 공무원·교사·군인 봉급표는 단순 호기심 차원을 넘어, 삶의 경로를 설계하는 데 직접적인 자료가 됩니다.
- 공무원 임용 준비생: 지원 직렬(일반직, 경찰·소방, 교육, 군무원 등)을 선택할 때, 2026년 기준 초임과 중장기 급여 곡선을 비교해보면 자신의 커리어 기대와 생활비 요구 수준을 보다 현실적으로 조정할 수 있습니다.
- 현직 공무원·교원·군인: 승진·전보·전직(예: 교사에서 장학관, 경찰에서 일반직 전환 등)을 고민할 때, 계급·직급 변경 시 봉급 변화와 수당 구조 변화를 미리 시뮬레이션해볼 수 있습니다.
- 전역·퇴직 예정자: 마지막 봉급과 재직 기간을 기준으로 연금 산정 기준소득월액을 가늠하고, 2026년 인상분이 연금액에 미치는 영향을 확인할 수 있습니다.
- 예산 담당자: 부서·학교·부대별 인원 구성과 2026년 봉급표를 연동하여 총 인건비를 산출하고, 향후 3년·5년 단위 중기 재정계획을 설계하는 데 활용할 수 있습니다.
또한 3.5% 인상이라는 숫자는 앞으로의 협상의 출발점이기도 합니다. 민간과의 격차를 얼마나 좁힐 것인지, 공무원·교원·군인이 감수해야 하는 직무 리스크와 책임에 어느 정도의 보수 프리미엄을 부여할 것인지, 청년층이 공직을 어떤 눈으로 바라보게 만들 것인지가 향후 정치·사회적 논쟁의 핵심이 될 수 있습니다.



결론 — 2026년 봉급표가 말해주는 것들
정리해 보면, 2026년 공무원 보수 인상률 3.5%는 공직사회의 오랜 요구와 물가·민간 임금 흐름을 뒤늦게나마 반영한 결과물입니다. 일반직 9급 초임이 200만 원을 넘어섰고, 경찰·소방·군인·교사 등 각 직군의 봉급표에도 동일한 인상률이 반영되었습니다. 하지만 기본급 인상만으로 모든 문제가 해결되는 것은 아닙니다. 공안직·군인의 위험도, 교원의 과중한 행정업무와 학급 관리 부담, 일반직의 과로와 민원 스트레스 등 ‘업무 강도’에 대한 보상, 그리고 근무 환경 개선, 조직 문화 혁신이 함께 뒤따라야 진정한 의미의 처우 개선이라 할 수 있습니다.



그럼에도 2026년 봉급표는 분명 한 걸음 전진한 결과입니다. 앞으로 2027년 이후 추가 인상 논의와 보수체계 개편 논의가 어떻게 이어질지, 공무원보수규정과 각종 수당 규정이 어떤 방향으로 조정될지에 따라 공직의 매력과 공공서비스의 질 역시 달라질 것입니다. 공무원·교사·군인이라는 직업을 고민하는 사람들에게 2026년 봉급표는 단순한 숫자 표가 아니라, 자신의 5년 후, 10년 후, 30년 후의 삶을 미리 그려볼 수 있는 중요한 기준점이라 할 수 있습니다.
'Info & Edu' 카테고리의 다른 글
| 4월 주일낮예배 대표기도문 (0) | 2026.04.15 |
|---|---|
| 25년 4월 25일 오늘의 금시세 18K 팔때 금 한돈 가격 (0) | 2026.02.03 |
| 제나일 수제 만년필 (0) | 2025.09.05 |
| 불꽃야구 다시보기 2025 경기 일정 (0) | 2025.08.21 |
| 우리은행 환전우대쿠폰 90% 완전 공략 (2025년 8월 기준) (0) | 2025.08.14 |